Contoh Soal Motor Induksi
Beberapa subtopik yang akan dibahas dalam contoh soal ini adalah gaya gerak listrik induksi arus bolak-balik generator cara memperbesar ggl induksi generator transformator jenis-jenis transformator persamaan umum transformator dan efisiensi transformator. Jika fasa fasa ditandai sedemikian sehingga i a1 mendahului i a1 dengan 30 v a1 akan mendahului dengan 30 dan fasa a akan sesuai dengan fasa b di atas.
Soal Motor Induksi 3 Phasa.

Contoh soal motor induksi. Soal dan jawaban motor induksi 1 phase. Diawali dengan penemuan oleh Hans Christian Oested bahwa arus listrik dapat menimbulkan medan magnetik ilmuwan lain diantaranya Faraday dan Lenz melalui eksperimen menemukan bahwa medan magnetik juga menghasilkan arus listrik. Cara pengasutan otomatis atau tidak 10.
Hitung slip motor jika diketahui kecepatan motor 1420 rpm. Contoh soal dan jawaban medan listrik 1. Motor induksi merupakan motor arus bolak balik ac yang paling luas penggunaannya.
Untuk berlatih menyelesaikan soal-soal mengenai induksi elektromagnetik langsung aja yuk kita simak latihan soal di bawah ini. Daya beban kemampuan motor 9. Contoh Soal Motor Induksi Satu Phasa.
Perbedaan motor 4 tak dan motor 2 tak. Kontinyu singkat berubah- ubah atrau siklus 4. Tandai sebagai konten tidak pantas.
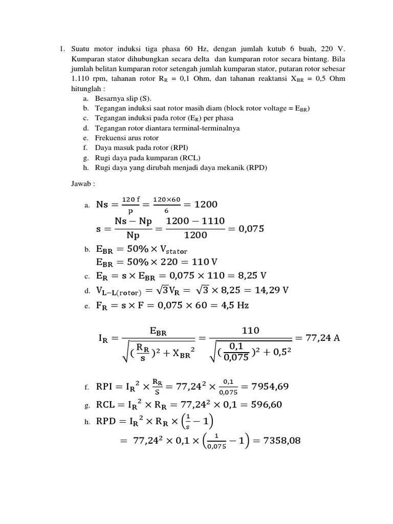
Inilah pembahasan lengkap terkait contoh soal dan jawaban induksi matematika. Contoh Soal A three-phase 60 Hz four-pole 220-V wound induction motor has a stator winding Delta connected and a rotor winding Y connected. Agar potongan kaca terapung di udara maka.
Slip per-unit dan frekuwensi rotor pada rated speed 127. 9Dilihat dari cara kerjanya motor tiga phasa disebut juga dengan motor tak serempak atau asinkron. A two-pole 60-Hz three-phase induction motor develops 25 kW of electromagnetic power at a certain speed.
Soal dan jawaban listrik magnet. Karakteristik perputaran kopel torsi 3. Frekuensi pengasutan jumlah start 5.
Mempelajari induksi elektromagnetik tidak lepas dari pembahasan di bab sebelumnya yakni listrik dan magnet. Download View Contoh Soal Motor Induksi 3 Fasa as PDF for free. Slip ns - n ns x 100 1500 - 1420 1500x 100 5.
A From s RI Pg 2 2 2 And 2 2 2 RIPP gd we have gd. Contoh Soal Dan Jawaban Motor Induksi 3 Fasa. Soal Motor Induksi 3 Phasa.
Simpan Simpan Contoh Soal Motor Induksi Satu Phasa Untuk Nanti 1 1 mendukung Tandai dokumen ini sebagai bermanfaat 0 0 menolak Tandai dokumen ini sebagai tidak bermanfaat Tanamkan Bagikan. Mereka sederhana dalam konstruksi dapat diandalkan. Sistem kendali pada beban 6.
Simpan simpan tugas soal dan jawaban motor listrik untuk nanti. Begitulah informasi yang bisa kami uraikan mengenai contoh soal motor induksi 3 fasa. Apakah bisa diberikan jawabanya.
Kuat medan listrik yang dibutuhkan untuk menahan agar potongan keca tersebut dapat. Kecepatan per menit 8. Laporan Motor Induksi 3 Fasa.
Pemasangan Pengendali Motor Induksi Tiga Fasa Hubungan. Penamaannya berasal dari kenyataan bahwa arus rotor motor ini bukan diperoleh dari sumber tertentu tetapi merupakan arus yang terinduksi sebagai akibat adanya perbedaan relative antara putaran rotor dengan medan putar rotating magnetic field yang dihasilkan oleh arus stator. Slip per-unit Slip per-unit.
Dalam bab induksi elektromagnetik ini kamu akan menemukan berbagai konsep yang digunakan seperti GGL Induksi fluks magnetik Hukum Faraday Hukum Lenz dan Induktansi Diri. Menghitung arusampere motor ketika diketahui daya watt tegangan volt dan faktor daya cos φ. 50 menganggap dokumen ini bermanfaat Tandai dokumen ini sebagai bermanfaat.
Admin blog Contoh Soal Terbaru 24 January 2022 juga mengumpulkan gambar-gambar lainnya terkait contoh soal dan jawaban induksi matematika dibawah ini. AThe slip s bThe output torque To 2. Contoh soal motor induksi satu phasa.
Gaya Gerak Listrik Gaya gerak listrik ggl induksi ditimbulkan oleh. Momen inersia beban 7. The rotational mechanical loss at this speed is 400 W.
Dengan kecepatan sinkron yang sama dengan hasil diatas. Simpan Contoh Soal Motor Induksi 3 Fasa Untuk Nanti. Contoh soal Penyelesaian Slide 23 Slide 24 TEGANGAN TERINDUKSI PADA ROTOR Slide 26 Contoh Soal Solution Slide 29 Slide 30 RANGKAIAN ROTOR Slide 32 Slide 33 Slide 34 Slide 35 KOMPONEN DAYA PADA ROTOR Slide 37 HUBUNGAN RPD DENGAN RPI HUBUNGAN RCL DENGAN RPI.
50 menganggap dokumen ini tidak bermanfaat Tandai dokumen ini sebagai tidak bermanfaat. Contoh Soal Motor Induksi 3 Fasa d47e66mgr2n2. Selain itu transformator 3 fasa banyak sekali mengurangi earat dan lebar dari kerangka transformator.
Bagaimana Cara Kerja Induksi Motor. Motor Listrik Wikipedia Bahasa Indonesia Ensiklopedia Bebas. Jenis mesin beban dinamikanya dari motor 2.
Soal Motor Induksi 3 Phasa. If the power crossing the air gap is 27 kW calculate.
Contoh Soal Motor Induksi Tiga Phasa

Contoh Soal Dan Jawaban Motor Induksi 3 Fasa

Contoh Soal Dan Jawaban Motor Induksi 3 Fasa Dapatkan Contoh

Contoh Soal Motor Induksi Satu Phasa
Contoh Soal Motor Induksi 3 Fasa
![]()
Contoh Soal Motor Induksi Satu Phasa
Contoh Soal Motor Induksi 3 Fasa

Post a Comment for "Contoh Soal Motor Induksi"