Passing Grade Sma 2016 Jakarta
SMA Negeri 7. Ini Grade 50 SMA Negeri Unggulan Jakarta.
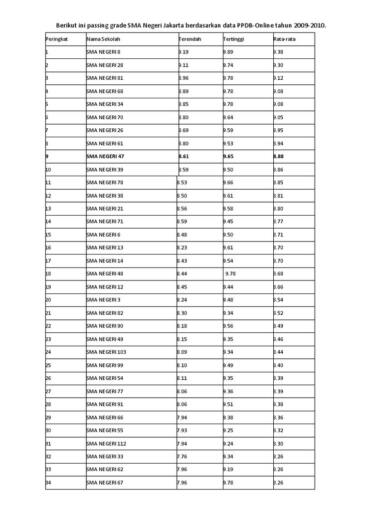
Berikut Ini Passing Grade Sma Negeri Jakarta Berdasarkan Data Ppdb
JAKARTA CITRAINDONESIACOM- Mungkin para orang tua murid belum tahu sekolah- sekolah SMP Negeri yang unggulan atau terbaik di DKI Jakarta.
Passing grade sma 2016 jakarta. SMPN 236 Jakarta passing grade terendah 866 tertinggi 9317 5. Ips 6613 7263 6814 sma. Inilah Passing Grade SMAN Tahun 2015 di Jakarta Pusat.
Foto tersebut berisi sebuah prediksi passing grade PPDB Kota Bandung 2016 yang beliau sebut berasal dari rekannya yang merupakan analis di bimbingan belajar Ganesha Operation. Passing Grade SMK Negeri DKI Jakarta 20162017 Tahap 1 Umum Tahap 2 Umum Tahap 3 Umum. Jika sekolah yang Anda cari belum ditemukan silakan klik disini Passing Grade Umum SMA SMK SMP Negeri DKI Jakarta 20162017 lalu pilih jenjang yang akan dilihat kemudian klik.
Para pelajar tengah sumringah melihat prestasi mereka di papan pengumuman. Passing Grade SMP Negeri di Jakarta. Saat itu passing grade sekolah kluster 1 turun rata-rata sebesar 375 PG sekolah kluster 2 turun rata-rata sebesar 660 dan PG sekolah kluster 3 turun rata-rata sebesar 994.
Mipa 7650 8763 7986. SMPN 115 Jakarta passing grade terendah 913 tertinggi 963 3. Mipa 7863 9075 8293.
SMA Negeri 6 Jakarta MIPA. Anda mungkin tidak sabar untuk melanjutkan membaca namun sudah menjadi SOP tidak tertulis bacatradisi di blog ini untuk menulis disclaimer sebelum menulis prediksi dan bahwa Anda harus membaca. Di Provinsi DKI Jakarta terdapat 114 SMA negeri dan lebih dari 400 SMA swasta.
Ips 8813 9325 8953 sma negeri 3. SMAN 34 terendah 915 tertinggi 983 8. Passing Grade Lengkap untuk SMA DKI Jakarta 2015-2016.
Bahasa 6938 7625 7260 sma negeri 5. SMA 34 passing grade 3540 6. Mipa 8688 9175 8828.
Passing Grade SMA Negeri DKI Jakarta 20162017 Tahap 1 Umum Tahap 2 Lokal Tahap 3 Umum. Mipa 6613 9038 6940. Passing Grade SMA Kota Bandung 2015-2016 Jalur MOU.
Daftar Lengkap 50 besar peringkat passing grade SMA Negeri di Provinsi DKI Jakarta Tahun 2017 - 2018 1. SMA Santa Ursula BSD Provinsi Banten jumlah rata-rata NEM. Jika sekolah yang Anda cari belum ditemukan silakan klik disini Passing Grade Umum SMA SMK SMP Negeri DKI Jakarta 20162017 lalu pilih jenjang yang akan dilihat.
Selama tiga tahun berturut-turut PPDB 2016 - 2018 SMAN 8 SMAN 28 dan SMAN 81 merupakan tiga sekolah yang konsisten dengan passing grade tertinggi baik untuk jurusan IPA maupun IPS. SMAN 68 terendah 916 tertinggi 968 7. Tren Passing Grade SMA di Jakarta.
Penurunan tajam ini mengubah rata-rata passing grade standar deviasi dan hasil regresi secara drastis. Minggu 20 Desember 2020. Mipa 9188 9800 9341.
Orang Tua Murid Asik Berburu SMA Unggulan. SMA Negeri Unggulan Mohammad Husni Thamrin Provinsi DKI Jakarta jumlah rata-rata NEM. SMA 68 passing grade 3555 5.
Artinya kecepatan perubahan data. PASSING GRADE PPDB PROVINSI DKI JAKARTA TAHUN 2016-SMAN11 Jakarta. Ips 8200 9088 8399 sma negeri 7.
Passing Grade SMK Kota Bandung 2015-2016. SMPN 107 Jakarta passing grade terendah 875 tertinggi 938 4. Passing grade ppdb provinsi dki jakarta tahun 2016 PENGUMUNAN KELULUSAN PESERTA DIDIK KELAS XII TAHUN PELAJARAN 20162017 Hasil Seleksi Peserta Didik Mutasi Semester Genap Tahun Pelajaran 2016-2017 SMA Negeri 11 Jakarta.
SMAN 71 terendah 905 tertinggi 941 10. Passing Grade SMK Negeri DKI Jakarta 20162017 Tahap 1 Umum Tahap 2 Umum Tahap 3 Umum. Beberapa SMA negeri terkenal konsisten dengan nilai passing grade yang tinggi.
Baca Juga News Update. Passing Grade SMP dan SMA di Jakarta 2016 13 Jun 2016 Passing grade sma 2016 merupakan sesuatu yang pasti dibutuhkan dimana setelah pengumuman hasil kelulusan untuk smp sudah diumumkan hari ini saatnya menentukan ke SMP atau SMA mana harus mendaftar sekolah bekasi dan jakarta favorite anda. Ips 7325 8975 7693 sma negeri 6.
Passing Grade SMAN di Jakarta Barat 1614 Data Sekolah Passing Grade SMAN di Jakarta Barat Tahap 1 KOTA JAKARTA BARAT GROGOL PETAMBURAN. Sma negeri 2. SMA 28 passing grade 3645 3.
SMA Negeri 7 Jakarta MIPA. SMA 81 passing grade 3585 4. Ips 7850 8525 8058 sma negeri 4.
SMA 61 passing grade 3520 7. SMA Kristen 1 Penabur Jakarta jumlah rata-rata NEM. SMPN 9 Jakarta passing grade terendah 865 tertinggi 9 50 6.
SMAN 48 terendah 916 tertinggi 970 9. 356 rows SMA Negeri 4 Jakarta MIPA. Mipa 8275 9038 8542.
Passing Grade SMA Negeri DKI Jakarta 20162017 Tahap 1 Umum Tahap 2 Lokal Tahap 3 Umum. Para warga sadaya semangat PPDB adalah Objektivitas Transparansi Akuntabilitas dan berkeadilan. SMA 8 passing grade 3675 2.
SMA Negeri 5 Jakarta MIPA. 360 rows Okeeh inilah hasil seleksi PPDB SMA Negeri DKI Jakarta passing grade. SMPN 41 Jakarta passing grade terendah 907 tertinggi 963 2.
Ips 7400 8488 7700. Gambar-0 Pengubahan Paradigma Dalam Memprediksi Passing Grade SMA Tahun 2016 di Kota Bandung CATATAN PENTING. Passing Grade SMK se-Jakarta.

Smpn 109 Jakarta Smpn109jakarta Blogspot Com Smpn109 Jakarta

Ppdb Dki Sma Passing Grade Tahap 2 Jakarta Selatan
Passing Grade Sma Jakarta Timur Nasi

Rata Rata Un Smp Turun Bagaimana Dengan Passing Grade Sma Bicara Ppdb

Passing Grade Sma Jakarta Timur Nasi

Ppdb Dki Sma Passing Grade Tahap 2 Jakarta Selatan
Berikut Ini Passing Grade Sma Negeri Jakarta Berdasarkan Data Ppdb
Passing Grade Sma Jakarta Timur Nasi
![]()
Memilih Sma Negeri Favorit Di Jakarta Analisis Data Katadata
Post a Comment for "Passing Grade Sma 2016 Jakarta"